Skip to main content
Element Software
本产品推出了新版本。
简体中文版经机器翻译而成,仅供参考。如与英语版出现任何冲突,应以英语版为准。

服务性能和质量

贡献者 netapp-pcarriga

SolidFire存储集群能够按卷提供服务质量 (QoS) 参数。您可以使用定义 QoS 的三个可配置参数来保证以每秒输入和输出 (IOPS) 衡量的集群性能:最小 IOPS、最大 IOPS 和突发 IOPS。

备注 SolidFire Active IQ有一个 QoS 建议页面,提供有关 QoS 设置的最佳配置和设置的建议。

服务质量参数

IOPS参数定义方式如下:

  • 最小 IOPS - 存储集群每秒向卷提供的最小持续输入和输出次数 (IOPS)。为卷配置的最小 IOPS 是该卷的保证性能水平。性能不会低于这个水平。

  • 最大 IOPS - 存储集群向卷提供的最大持续 IOPS 数。当集群 IOPS 水平达到极高水平时,不会超过此 IOPS 性能水平。

  • 突发IOPS - 在短时间内允许的最大突发IOPS数。如果卷的运行速度低于最大 IOPS,则会累积突发积分。当性能水平非常高并达到最大值时,允许卷上出现短时间的 IOPS 突发。

    Element 软件在集群 IOPS 利用率较低时使用突发 IOPS。

    单个卷可以累积突发 IOPS,并使用这些积分在设定的“突发周期”内将其 IOPS 提升至超过其最大 IOPS 水平,直至达到其突发 IOPS 水平。如果集群有容量容纳突发流量,则卷可以突发流量长达 60 秒。如果卷的运行速度低于其最大 IOPS 限制,则该卷每运行一秒,即可获得一秒的突发信用额度(最多 60 秒)。

    突发 IOPS 受限于以下两个方面:

    • 卷的突发性能可以超过其最大 IOPS,持续时间等于该卷已累积的突发信用数。

    • 当某个音量达到其最大 IOPS 设置值以上时,它会受到其突发 IOPS 设置值的限制。因此,突发 IOPS 永远不会超过卷的突发 IOPS 设置值。

  • 有效最大带宽 - 最大带宽是通过将 IOPS 数(基于 QoS 曲线)乘以 IO 大小来计算的。

    例如:QoS 参数设置为 100 最小 IOPS、1000 最大 IOPS 和 1500 突发 IOPS,对性能质量有以下影响:

    • 工作负载能够达到并维持最大 1000 IOPS,直到集群上出现工作负载争用 IOPS 的情况。然后逐步降低 IOPS,直到所有卷上的 IOPS 都达到指定的 QoS 范围,从而缓解性能争用。

    • 所有卷的性能都力求达到最低 IOPS 100。当工作负载争用得到缓解时,IOPS 水平不会低于最小 IOPS 设置,但可能会高于 100 IOPS。

    • 性能不会超过 1000 IOPS,也不会在一段时间内低于 100 IOPS。允许达到 1500 IOPS(突发 IOPS)的性能,但仅限于那些通过在低于最大 IOPS 的运行下积累突发积分的卷,并且只允许在短时间内使用。爆发强度永远不会持续。

QoS 值限制

以下是 QoS 的可能最小值和最大值。

参数 最小值 默认 4.4KB 5.8KB 6 16KB 262 KB

最小 IOPS

50

50

15,000

9,375*

5556*

385*

最大 IOPS

100

15,000

200,000**

125,000

74,074

5128

突发 IOPS

100

15,000

200,000**

125,000

74.074

5128

*这些估算值均为近似值。 **最大 IOPS 和突发 IOPS 可以设置为高达 200,000;但是,此设置仅允许有效地解除卷的性能限制。卷的实际最大性能受集群使用情况和单个节点性能的限制。

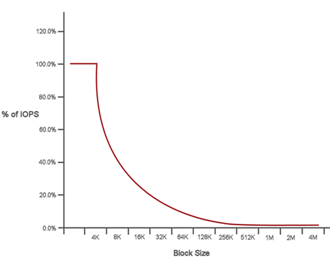
服务质量性能

QoS 性能曲线显示了块大小与 IOPS 百分比之间的关系。

数据块大小和带宽直接影响应用程序可获得的 IOPS 数量。 Element 软件会考虑接收到的块大小,并将块大小标准化为 4k。根据工作负载情况,系统可能会增加数据块大小。随着数据块大小的增加,系统会将带宽增加到足以处理更大数据块大小的水平。随着带宽的增加,系统能够达到的IOPS数量会减少。

QoS性能曲线显示了块大小增加与IOPS百分比下降之间的关系:

描述了 QoS 中块大小增加与 IOPS 之间的关系。

例如,如果块大小为 4k,带宽为 4000 KBps,则 IOPS 为 1000。如果块大小增加到 8k,带宽增加到 5000 KBps,IOPS 减少到 625。通过考虑数据块大小,该系统确保使用较大数据块大小的低优先级工作负载(例如备份和虚拟机管理程序活动)不会占用使用较小数据块大小的高优先级流量所需的过多性能。

QoS 策略

QoS 策略允许您创建和保存可应用于多个卷的标准化服务质量设置。

QoS 策略最适合服务环境,例如数据库、应用程序或基础架构服务器,这些服务器很少重启,并且需要持续平等地访问存储。单个卷 QoS 最适合轻度使用的虚拟机,例如虚拟桌面或专用信息亭型虚拟机,这些虚拟机可能每天或一天多次重启、开机或关机。

QoS 和 QoS 策略不应该同时使用。如果您正在使用 QoS 策略,请不要在卷上使用自定义 QoS。自定义 QoS 将覆盖和调整卷 QoS 设置的 QoS 策略值。

备注 要使用 QoS 策略,所选集群必须是 Element 10.0 或更高版本;否则,QoS 策略功能将不可用。